An Act to amend the Duties Act 2001, the Land Tax Act 2010, the Land Tax Regulation 2021, the Payroll Tax Act 1971 and the Taxation Administration Act 2001 for particular purposes
The Parliament of Queensland enacts—
This Act may be cited as the Revenue Legislation Amendment Act 2023.
This Act, other than part 6, commences on 1 July 2023.
Part 2 Amendment of Duties Act 2001
This part amends the Duties Act 2001.
4Insertion of new ch 4, pt 4AA
Chapter 4, before part 4A—
insert—(1)This part applies in relation to a relevant transaction that—(a)is the transfer, or agreement for the transfer, of dutiable property that is AFAD residential land; and(b)is entered into on or after 1 July 2023.(2)However, this part does not apply in relation to a relevant transaction mentioned in subsection (1) if—(a)the transfer or agreement replaces a transfer, or an agreement for transfer, that—(i)included the dutiable property; and(ii)was made before 1 July 2023; or(b)the transferee had an option to purchase the dutiable property, or the transferor had an option to require the transferee to purchase the dutiable property, that was granted before 1 July 2023 and exercised on or after 1 July 2023; or(c)another arrangement was made before 1 July 2023 the sole or main purpose of which was to defer the making of the transfer or agreement until 1 July 2023 or later so a concession under this part would apply in relation to the relevant transaction.In this part—acquisition year, in relation to a relevant transaction, means the financial year during which the liability for transfer duty on the relevant transaction arises.build to rent development see the Land Tax Act 2010, section 58D.completed stage, of a staged development, see the Land Tax Act 2010, section 58E(4).eligible BTR development see the Land Tax Act 2010, section 58E.ineligible to obtain a BTR land tax concession, in relation to land for a financial year, see section 245D(3).land used for an eligible BTR development, for a financial year, see the Land Tax Act 2010, section 58C.obtains a BTR land tax concession, in relation to land for a financial year, see section 245D(1).staged development see the Land Tax Act 2010, section 58D(4).245D When a person obtains a BTR land tax concession or is ineligible to obtain a BTR land tax concession
(1)A person obtains a BTR land tax concession, in relation to land for a financial year, if the person’s liability under the Land Tax Act 2010 for land tax for the financial year is assessed on the basis that a concession under section 58B of that Act applies in relation to the land.See the Land Tax Act 2010, section 7 for when a liability for land tax arises.(2)To remove any doubt, it is declared that subsection (1) does not apply if the person’s liability for the financial year is later reassessed under the Land Tax Act 2010, part 6A, division 5 on the basis that the concession under section 58B of that Act does not apply in relation to the land.(3)A person is ineligible to obtain a BTR land tax concession, in relation to land for a financial year, if the person’s liability under the Land Tax Act 2010 for land tax for the financial year would be assessed on the basis that a concession under section 58B of that Act does not apply in relation to the land, whether or not—(a)a liability for land tax for the financial year has arisen; or(b)the time for making an assessment has arisen.245E Particular references to land, acquirer and land used for an eligible BTR development
(1)In this part—(a)a reference to the land, in relation to a relevant transaction, is a reference to the land the subject of the relevant transaction; and(b)a reference to the acquirer, in relation to a relevant transaction, is a reference to the acquirer under the relevant transaction.(2)Also, a reference in this part to land used for an eligible BTR development at a particular time, rather than for a financial year, is a reference to land to which both of the following apply—(a)the land is land used for an eligible BTR development for the financial year during which the particular time occurs;(b)during the period starting at midnight on 30 June immediately preceding the particular time and ending at the particular time, nothing has happened that would prevent the land being land used for an eligible BTR development for the financial year starting on the next 1 July.Examples of matters that would prevent the land being land used for an eligible BTR development for the financial year starting on the next 1 July—
1During the period mentioned in paragraph (b), the percentage of dwellings in the eligible BTR development that are discounted rent dwellings within the meaning of the Land Tax Act 2010 is less than 10% for more than 30 days.2During the period mentioned in paragraph (b), the dwellings in the eligible BTR development cease to be managed in compliance with the Land Tax Act 2010, section 58M.245F Concession—land to be used for eligible BTR development
(1)This section applies for calculating the amount of AFAD imposed under this chapter on a relevant transaction if—(a)at the time the liability for transfer duty on the relevant transaction arises, a build to rent development is not located on the land; and(b)the acquirer is a foreign acquirer; and(c)the acquirer will—(i)construct a build to rent development on the land on or before 30 June 2030; andSee the Land Tax Act 2010, section 58D for the period during which a building must become suitable for occupation to be a build to rent development and for the modification of that requirement for a staged development.(ii)use the land and the build to rent development in a way that makes the acquirer eligible to obtain a BTR land tax concession in relation to the land for at least 5 consecutive financial years; and(d)the acquirer will not transfer or subdivide the land before the acquirer—(i)has obtained a BTR land tax concession in relation to the land for any financial year; or(ii)has obtained a BTR land tax concession in relation to the land for at least 5 consecutive financial years.(2)To the extent of the foreign acquirer’s interest under the relevant transaction, the dutiable value of the dutiable property must be discounted by 100%.245G Concession—land used for eligible BTR development
(1)This section applies for calculating the amount of AFAD imposed under this chapter on a relevant transaction if—(a)at the time the liability for transfer duty on the relevant transaction arises—(i)the land is land used for an eligible BTR development; and(ii)if the eligible BTR development is a staged development—each stage of the development is a completed stage; and(b)the transferor obtained a BTR land tax concession in relation to the land for the financial year before the acquisition year; and(c)the acquirer is a foreign acquirer; and(d)the acquirer will use the land and the eligible BTR development in a way that makes the acquirer eligible to obtain a BTR land tax concession in relation to the land for at least 5 consecutive financial years; and(e)the acquirer will not transfer or subdivide the land before the acquirer has obtained a BTR land tax concession in relation to the land for at least 5 consecutive financial years.(2)To the extent of the foreign acquirer’s interest under the relevant transaction, the dutiable value of the dutiable property must be discounted by 100%.245H Application for concession
(1)An application for a concession under division 2 for AFAD on a relevant transaction must be made in the approved form.(2)The application must be made—(a)when the instrument that effects or evidences the relevant transaction is lodged for assessment; or(b)when the acquirer first applies under the Land Tax Act 2010, section 58S to have the acquirer’s liability for land tax for a financial year assessed on the basis that the land is land used for an eligible BTR development for the financial year.245I Application for ruling about concession
(1)This section applies if—(a)a person proposes—(i)to be a party to a transaction that would be a relevant transaction to which this part applies; and(ii)to construct a build to rent development on the land on or before 30 June 2030 and use the land and the build to rent development in the way mentioned in section 245F(1)(c)(ii); and(b)the person has applied under the Land Tax Act 2010, section 58T for a ruling on whether, if the proposed development is carried out, the person’s liability for land tax for a financial year will be assessed on the basis that a concession under section 58B of that Act applies in relation to the land.(2)The person may apply to the commissioner for a ruling on whether, if the proposed development is carried out, the concession under section 245F will apply in relation to the relevant transaction.(3)The application must—(a)be in the approved form; and(b)be supported by enough information to enable the commissioner to make a ruling.(4)The commissioner must give the applicant notice of the commissioner’s ruling on the application.245J Effect of ruling about concession
(1)This section applies if the commissioner has, on an application for a ruling under section 245I, decided that a relevant transaction will be assessed on the basis that the concession under section 245F will apply in relation to the transaction.(2)The commissioner must, on an application under section 245H for a concession under section 245F, decide to assess the relevant transaction on the basis that the concession under section 245F applies in relation to the transaction.(3)However, subsection (2) does not apply if—(a)the information given with the application for the concession differs in a material particular from the information given with the application for the ruling; or(b)the circumstances existing at the time the application for the concession is made are materially different from the circumstances existing at the time the application for the ruling was made; or(c)the information given with the application for the ruling was false or misleading in a material particular; or(d)both of the following apply—(i)after the ruling is made but before the application for the concession is decided, a legislative change takes effect, a judgment of a court is given or a decision by QCAT is made;(ii)the legislative change, judgment or decision would, if it had taken effect or been given or made before the ruling was made, have materially affected the ruling made by the commissioner.(4)In this section—information includes a document.245K Reassessment—application for AFAD concession made with application for land tax concession
(1)This section applies if—(a)an application is made under section 245H, at the time mentioned in section 245H(2)(b), for a concession for AFAD on a relevant transaction; and(b)the commissioner decides the concession applies in relation to the relevant transaction.(2)The commissioner must make a reassessment of the relevant transaction on the basis that the concession is applied in relation to the transaction.(3)Subsection (2) applies despite the limitation period under the Administration Act for reassessments.See the Administration Act, part 3 (Assessments of tax), division 3 (Reassessments).245L Reassessment—avoidance arrangement
(1)This section applies if the commissioner is satisfied an acquirer under a relevant transaction has entered into an arrangement, whether in writing or otherwise, to circumvent limitations on, or requirements affecting, eligibility for a concession under division 2.(2)The commissioner may make a reassessment to impose AFAD on the relevant transaction, to the extent of the acquirer’s interest in the dutiable property, on the basis that the acquirer was not entitled to the concession.245M Reassessment—noncompliance with requirements for AFAD concession under s 245F
(1)This section applies if AFAD is not imposed on a relevant transaction only because a concession under section 245F is applied in relation to the transaction.(2)The commissioner must make a reassessment under subsection (3) if the commissioner is satisfied any of the following circumstances apply in relation to the land—(a)the acquirer does not construct a build to rent development on the land on or before 30 June 2030;See the Land Tax Act 2010, section 58D for the period during which a building must become suitable for occupation to be a build to rent development and for the modification of that requirement for a staged development.(b)the acquirer transfers or subdivides the land before the acquirer has obtained a BTR land tax concession in relation to the land for any financial year;(c)if the acquirer has not obtained a BTR land tax concession in relation to the land for any financial year before the 2032–2033 financial year—the acquirer does not obtain a BTR land tax concession in relation to the land for the 2032–2033 financial year;(d)if the acquirer has not obtained a BTR land tax concession in relation to the land for any financial year—an event happens, or does not happen, as a result of which the acquirer is ineligible to obtain a BTR land tax concession in relation to the land for any financial year;(e)if the acquirer first obtains a BTR land tax concession in relation to the land for the 2032–2033 financial year or an earlier financial year (in either case the first concession year)—(i)an event happens, or does not happen, as a result of which the acquirer is ineligible to obtain a BTR land tax concession in relation to the land for any 1 of the 4 financial years following the first concession year; or(ii)the acquirer transfers or subdivides the land before the acquirer has obtained a BTR land tax concession in relation to the land for at least 5 consecutive financial years.(3)The commissioner must make a reassessment to impose AFAD on the relevant transaction as if, at the time the liability for transfer duty on the transaction arose, the concession did not apply in relation to the transaction.(4)For subsection (3), the circumstance mentioned in subsection (2)(c) is taken to apply if the acquirer does not make an application under the Land Tax Act 2010, section 58S in relation to the land for the 2032–2033 financial year within the period mentioned in section 58S(2)(b) of that Act.(5)The reassessment must be made—(a)for a circumstance mentioned in subsection (2)(a)—on or before 30 June 2035; or(b)for a circumstance mentioned in subsection (2)(b), (c) or (d)—on or before 30 June 2037; or(c)for a circumstance mentioned in subsection (2)(e)(i) or (ii)—within 5 years after the end of the last financial year for which the acquirer obtains a BTR land tax concession in relation to the land.(6)This section applies despite the limitation period under the Administration Act for reassessments.See the Administration Act, part 3 (Assessments of tax), division 3 (Reassessments).245N Reassessment—noncompliance with requirements for AFAD concession under s 245G
(1)This section applies if AFAD is not imposed on a relevant transaction only because a concession under section 245G is applied in relation to the transaction.(2)The commissioner must make a reassessment under subsection (3) if the commissioner is satisfied any of the following circumstances apply in relation to the land—(a)the acquirer transfers or subdivides the land during the acquisition year;(b)a reassessment is made under the Land Tax Act 2010, part 6A, division 5 of the acquirer’s liability for land tax for a financial year because—(i)a reassessment has been made under that division of the transferor’s liability for land tax for the financial year on the basis that the land was not land used for an eligible BTR development for the financial year; and(ii)section 58I of that Act does not apply;(c)the acquirer will be ineligible to obtain a BTR land tax concession in relation to the land for the financial year immediately following the acquisition year because—(i)a reassessment has been made under the Land Tax Act 2010, part 6A, division 5 of the transferor’s liability for land tax for the acquisition year on the basis that the land was not land used for an eligible BTR development for the acquisition year; and(ii)section 58I of that Act does not apply;(d)another event happens, or does not happen, as a result of which the acquirer is ineligible to obtain a BTR land tax concession in relation to the land for the financial year immediately following the acquisition year;(e)if the acquirer obtains a BTR land tax concession in relation to the land for the financial year immediately following the acquisition year (the first concession year)—(i)an event happens, or does not happen, as a result of which the acquirer is ineligible to obtain a BTR land tax concession in relation to the land for any 1 of the 4 financial years following the first concession year; or(ii)the acquirer transfers or subdivides the land before the acquirer has obtained a BTR land tax concession in relation to the land for at least 5 consecutive financial years.(3)The commissioner must make a reassessment to impose AFAD on the relevant transaction as if, at the time the liability for transfer duty on the transaction arose, the concession did not apply in relation to the transaction.(4)The reassessment must be made—(a)for a circumstance mentioned in subsection (2)(a) or (d)—within 5 years after the end of the acquisition year; or(b)for a circumstance mentioned in subsection (2)(b) or (c)—within 5 years after an assessment notice is given to the transferor in relation to the reassessment; or(c)for a circumstance mentioned in subsection (2)(e)(i) or (ii)—within 5 years after the end of the last financial year for which the acquirer obtains a BTR land tax concession in relation to the land.(5)This section applies despite the limitation period under the Administration Act for reassessments.See the Administration Act, part 3 (Assessments of tax), division 3 (Reassessments).This division applies if AFAD is not imposed on a relevant transaction because a concession under division 2 is applied in relation to the transaction.245P Notice of particular decisions about future use of land
(1)This section applies if the acquirer decides not to use the land for the purpose, or otherwise in the way, proposed when the concession was applied in relation to the relevant transaction.(2)Without limiting subsection (1), each of the following is a decision for this section—(a)a decision not to construct a build to rent development on the land;(b)a decision to construct a build to rent development on the land of a smaller scale than the development originally proposed;(c)if the land is land used for an eligible BTR development that is a staged development and at least 1 stage of the development is not a completed stage—(i)a decision not to proceed with the stage; or(ii)a decision to change the nature of the stage;(d)a decision to transfer or subdivide the land.(3)Within 1 month after making the decision, the acquirer must give the commissioner notice in the approved form of the decision.Under the Administration Act, the requirement under this section is a lodgement requirement for which a failure to comply is an offence under section 121 of that Act.(4)However, subsection (3) does not apply in relation to a decision mentioned in subsection (2)(d) if, when the decision is made, the acquirer has obtained a BTR land tax concession in relation to the land for at least 5 consecutive financial years.(5)If the acquirer gives notice under this section of a decision for which the acquirer is also required to give notice under the Land Tax Act 2010, section 58ZA, the acquirer is taken to have complied with that section in relation to the decision.245Q Notice of particular circumstances applying to land—concession under s 245F
(1)This section applies if—(a)the concession is applied under section 245F; and(b)any of the circumstances mentioned in section 245M apply in relation to the land.(2)Within 1 month after the circumstance starts to apply in relation to the land, the acquirer must—(a)give the commissioner notice in the approved form of the application of the circumstance; and(b)ensure the instruments required for the assessment of duty for the relevant transaction are lodged for a reassessment of duty on the transaction.Under the Administration Act, the requirement under this section is a lodgement requirement for which a failure to comply is an offence under section 121 of that Act.245R Notice of particular circumstances applying to land—concession under s 245G
(1)This section applies if—(a)the concession is applied under section 245G; and(b)any of the circumstances mentioned in section 245N apply in relation to the land.(2)Within 1 month after the circumstance starts to apply in relation to the land, the acquirer must—(a)give the commissioner notice in the approved form of the application of the circumstance; and(b)ensure the instruments required for the assessment of duty for the relevant transaction are lodged for a reassessment of duty on the transaction.Under the Administration Act, the requirement under this section is a lodgement requirement for which a failure to comply is an offence under section 121 of that Act.245S Requirement to keep particular records
(1)This section applies if, on an application under section 245H, the commissioner assesses a relevant transaction on the basis that a concession under division 2 applies in relation to the transaction.(2)The acquirer must keep records that show—(a)for a concession under section 245F—(i)when the acquirer satisfies the condition mentioned in section 245F(1)(c)(i); and(ii)the acquirer’s continued satisfaction of the condition mentioned in section 245F(1)(c)(ii); or(b)for a concession under section 245G—the acquirer’s continued satisfaction of the condition mentioned in section 245G(1)(d).See the Administration Act, section 118 (Period for keeping records).
5Amendment of ch 4, pt 5, hdg (Reassessments)
Chapter 4, part 5, heading—
insert—See also the reassessment provisions in part 4AA, division 4 relating to concessions for eligible BTR developments.
6Omission of ch 4, pt 5, div 4, sdiv 1, hdg (Preliminary)
Chapter 4, part 5, division 4, subdivision 1, heading—
omit.
7Amendment of s 246H (Acquirer must lodge AFAD statement)
(1)Section 246H, after ‘AFAD exemption’—
insert—or an AFAD concession
(2)Section 246H—
insert—(2)In this section—AFAD concession means a concession under section 245F or 245G.
8Insertion of new ch 17, pt 28
Chapter 17—
insert—680Transitional regulation-making power
(1)A regulation (a transitional regulation) may make provision about a matter for which—(a)it is necessary to make provision to allow or facilitate the doing of anything to achieve the transition from the operation of this Act as in force before its amendment by the Revenue Legislation Amendment Act 2023, part 2 to the operation of this Act as in force from the commencement; and(b)this Act does not provide or sufficiently provide.(2)A transitional regulation may have retrospective operation to a day not earlier than the day this section commences.(3)A transitional regulation must declare it is a transitional regulation.(4)This section and any transitional regulation expire on the day that is 1 year after the day this section commences.
9Amendment of sch 6 (Dictionary)
Schedule 6—
insert—acquisition year, in relation to a relevant transaction, for chapter 4, part 4AA, see section 245C.build to rent development, for chapter 4, part 4AA, see section 245C.completed stage, of a staged development, for chapter 4, part 4AA, see section 245C.eligible BTR development, for chapter 4, part 4AA, see section 245C.ineligible to obtain a BTR land tax concession, in relation to land for a financial year, for chapter 4, part 4AA, see section 245D(3).land used for an eligible BTR development, for a financial year, for chapter 4, part 4AA, see section 245C.obtains a BTR land tax concession, in relation to land for a financial year, for chapter 4, part 4AA, see section 245D(1).staged development, for chapter 4, part 4AA, see section 245C.
Part 3 Amendment of Land Tax Act 2010
This part amends the Land Tax Act 2010.
11Amendment of s 32 (Rate of land tax generally)
Section 32—
insert—See, however, section 58B, about concessions for eligible BTR developments.
12Insertion of new pt 6A
After part 6—
insert—In this part—BTR start date, for an eligible BTR development, means 1 July in the financial year immediately preceding the first financial year for which a taxpayer’s liability for land tax is assessed on the basis that land is land used for the eligible BTR development.A taxpayer’s liability for land tax for the financial year starting on 1 July 2026 is assessed on the basis that land is land used for an eligible BTR development. An assessment of liability for land tax has not previously been made on the basis that the land is used for that purpose. The BTR start date for the eligible BTR development is 1 July 2025.build to rent development see section 58D.discounted rent dwelling, in a build to rent development, see section 58P(2).discounted rent housing agreement see section 58R.eligible BTR development see section 58E.eligible tenant see section 58Q.land used for an eligible BTR development, for a financial year, see section 58C.residential tenancy agreement means a residential tenancy agreement to which the Residential Tenancies and Rooming Accommodation Act 2008 applies.staged development see section 58D(4).suitable for occupation, in relation to a building, means a certificate of occupancy has been given for the building under the Building Act 1975.58BConcessions for land used for eligible BTR development
(1)This section applies to land that is land used for an eligible BTR development for a financial year.(2)The taxable value of the land must be discounted by 50%.(3)Also, if the owner of the land is a company or trustee that is a foreign company or a trustee of a foreign trust, the surcharge rate mentioned in section 32(1)(b)(ii) does not apply.58CLand used for an eligible BTR development
(1)Land is land used for an eligible BTR development, for a financial year, if the commissioner is satisfied that—(a)during the previous financial year—(i)the land was used, solely or primarily, for an eligible BTR development; and(ii)if the land was owned by more than 1 owner—no owner of the land, either individually or with another owner, was entitled to a specific part of the land that 1 or more of the other owners were not entitled to; and(b)the requirements under subdivision 2 are satisfied in relation to—(i)the maximum period for which the land may be land used for an eligible BTR development; andSee section 58G in relation to the maximum period for which land may be land used for an eligible BTR development.(ii)if land tax for a previous financial year has been assessed on the basis that the land was land used for an eligible BTR development—the continuous use of the land for an eligible BTR development from the BTR start date for the development.See sections 58H to 58J in relation to continuity of use of land for an eligible BTR development.See also section 58ZC for how these requirements apply if the first or only building comprising a build to rent development becomes suitable for occupation before 1 January in a financial year.(2)For subsection (1)(a), if the eligible BTR development is a staged development, to the extent the land is intended to be used for a future stage of the development the land is taken to be used for the eligible BTR development.(3)To remove any doubt, it is declared for this part that to the extent land is used for an associated common area for the eligible BTR development the land is used for eligible BTR development.(4)In this section—associated common area, in relation to an eligible BTR development located on a parcel, means parts of the parcel, other than dwellings, that are available for the exclusive use of occupants of the dwellings.common areas, amenities such as swimming pools and gymnasiums, on-site management facilities58DBuild to rent developments and staged developments
(1)A build to rent development is 1 or more buildings that—(a)are located on the same parcel; and(b)are constructed or substantially renovated for the purpose of providing multiple dwellings to be occupied under residential tenancy agreements; and(c)first become suitable for occupation during the period starting on 1 July 2023 and ending on 30 June 2030.(2)If more than 1 building is located on the parcel, subsection (1)(c) applies only in relation to the building that first becomes suitable for occupation.(3)Also, if 1 or more buildings, or parts of buildings, located on the parcel become or are intended to become suitable for occupation at different times because development is carried out in stages, subsection (1)(c) applies only in relation to the building, or part of a building, that first becomes suitable for occupation.(4)A build to rent development mentioned in subsection (3) is a staged development.(5)For this section, a building is substantially renovated for the purpose mentioned in subsection (1)(b) if—(a)the building has been used wholly for purposes other than residential purposes; and(b)the building is converted or redeveloped so that it becomes suitable for use for the purpose mentioned in subsection (1)(b).(6)For subsection (5)(a), residential purposes includes the provision of short-term accommodation, such as a hotel.(1)A build to rent development is an eligible BTR development, for a financial year, if during the previous financial year the build to rent development—(a)was comprised of at least 50 dwellings that met the requirements under subdivision 3; and(b)met the discounted rent housing requirements under subdivision 4; and(c)was used solely or primarily for residential purposes.See also section 58ZC for how these requirements apply if the first or only building comprising a build to rent development becomes suitable for occupation before 1 January in a financial year.(2)Despite subsection (1), a build to rent development may be an eligible BTR development only if the requirements mentioned in subsection (1) are satisfied by 30 June in the financial year that ends 2 years after the end of the financial year during which the first or only building comprising the development becomes suitable for occupation.The first building comprising a build to rent development becomes suitable for occupation on 1 August 2025. The requirements mentioned in subsection (1) must be satisfied by 30 June 2028 for the build to rent development to be an eligible BTR development.(3)If a build to rent development is a staged development—(a)for this section and subdivisions 3 and 4, a dwelling is taken to be part of the development only if—(i)the dwelling is in a completed stage of the development; and(ii)at least 12 months have passed since the last day of the month in which the stage of the development became a completed stage; and(b)subsection (2) applies only in relation to the first completed stage of the development.(4)In this section—completed stage, of a staged development, means a building or part of a building comprising a stage of the development that is suitable for occupation.This subdivision states, for section 58C(1)(b), requirements that must be met for land to be land used for an eligible BTR development for a financial year.(1)The maximum number of financial years for which the land may be land used for an eligible BTR development is 20 financial years.(2)However, the last financial year for which the land may be land used for an eligible BTR development is the financial year ending on 30 June 2050.(1)The land may be land used for an eligible BTR development for more than 1 financial year only if the use of the land for an eligible BTR development has been continuous since the BTR start date for the development.(2)This section applies regardless of any change in the ownership of the land.(3)This section applies subject to sections 58I and 58J.58IContinuity of use—sale of land
(1)This section applies if—(a)a liability for land tax of a person (the previous owner) for a financial year is assessed on the basis that land is land used for an eligible BTR development; and(b)during the financial year mentioned in paragraph (a) (the relevant financial year), the land is acquired by another person (the new owner); and(c)but for this section, the land would be prevented from being land used for an eligible BTR development for a financial year after the relevant financial year only because of a relevant change in circumstance; and(d)the new owner did not know, and could not reasonably have known—(i)for a relevant change in circumstance mentioned in paragraph (a) of the definition of that term—that the change in circumstance happened; or(ii)for a relevant change in circumstance that is the making of a reassessment under section 58V—that the land is not land used for an eligible BTR development for the relevant financial year or previous financial year; or(iii)for a relevant change in circumstance that is the making of a reassessment under section 58W or 58X—about the circumstances mentioned in section 58W(1)(c) or 58X(1) in relation to the relevant financial year or previous financial year; and(e)since acquiring the land, the new owner has continuously used the land, solely or primarily, for a purpose that would have been the use of land for an eligible BTR development if the land had been continuously used for that purpose for the pre-acquisition period.(2)For the new owner’s, and any subsequent owner’s, liability for land tax for a financial year after the relevant financial year, the land is taken to have been used continuously, solely or primarily, for an eligible BTR development for the pre-acquisition period despite the relevant change in circumstance.(3)In this section—pre-acquisition period means the period—(a)starting on what would have been the BTR start date for the development had it been an eligible BTR development; and(b)ending immediately before the acquisition of the land by the new owner.relevant change in circumstance means—(a)a change in circumstance that happens during the period starting at midnight on 30 June immediately preceding the relevant financial year and ending at the time the land is acquired by the new owner; or1During the period mentioned in paragraph (a), the percentage of dwellings in the eligible BTR development that are discounted rent dwellings falls below 10% for more than 30 days.2During the period mentioned in paragraph (a), the dwellings in the eligible BTR development cease to be managed in compliance with section 58M.(b)after the land is acquired by the new owner, the making of a reassessment of the previous owner’s liability for land tax for the relevant financial year, or a previous financial year, under division 5.58JContinuity of use—subdivision
(1)This section applies if—(a)a person’s liability for land tax for a financial year is assessed on the basis that land (the original parcel) is used for an eligible BTR development; and(b)in a later financial year, the original parcel is subdivided; and(c)the original parcel is continuously used, solely or primarily, for an eligible BTR development from the BTR start date for the development until immediately before the subdivision takes effect; and(d)a parcel into which the original parcel is subdivided (a new parcel) is, from the date the subdivision takes effect, continuously used, solely or primarily, for a build to rent development comprising 1 or more buildings that were or formed part of the eligible BTR development for which the original parcel was used.(2)For the purposes of the owner’s liability to land tax on the new parcel for a financial year—(a)the build to rent development for which the new parcel is used is taken to be the same build to rent development for which the original parcel was used; and(b)if the build to rent development for which the new parcel is used is an eligible BTR development for the financial year—the BTR start date for the development is taken to be the BTR start date for the eligible BTR development for which the original parcel was used.See also section 58ZC for how this provision applies if the first or only building comprising a build to rent development becomes suitable for occupation before 1 January in a financial year.This subdivision states, for section 58E(1)(a), requirements relating to dwellings in a build to rent development that must be satisfied for the development to be an eligible BTR development for a financial year.1The requirements must be satisfied during the previous financial year—see section 58E(1).2See also section 58ZC for how these requirements apply if the first or only building comprising a build to rent development becomes suitable for occupation before 1 January in a financial year.58LDwellings to be self-contained
The dwellings must be self-contained.(1)The same entity must be responsible for providing management services for all of the dwellings in the build to rent development.(2)However, the discounted rent dwellings in the build to rent development may be managed by another entity if—(a)the other entity is a registered community housing provider; and(b)all of the discounted rent dwellings in the build to rent development are managed by the same registered community housing provider.(3)In this section—registered community housing provider means a national provider or a State provider within the meaning of the Housing Act 2003.58NOccupation under residential tenancy agreement
(1)The dwellings must be occupied, or available for occupation, under residential tenancy agreements.(2)The terms of the residential tenancy agreements must not restrict who may occupy the dwellings, except to the extent a restriction is—(a)necessary to protect public health or safety; or(b)related to the provision of housing to an eligible tenant under a discounted rent housing agreement.This subdivision states, for section 58E(1)(b), requirements about discounted rent housing that must be met for a build to rent development to be an eligible BTR development for a financial year.58PPercentage of discounted rent dwellings
(1)During the previous financial year, at least 10% of the dwellings in the build to rent development must have been discounted rent dwellings.See also section 58ZC for how this requirement applies if the first or only building comprising a build to rent development becomes suitable for occupation before 1 January in a financial year.(2)A dwelling in the build to rent development is a discounted rent dwelling if it is occupied by an eligible tenant under a discounted rent housing agreement.(3)Subsection (4) applies if, on 1 or more days during the previous financial year (whether consecutive or otherwise), the percentage of dwellings in the build to rent development that were discounted rent dwellings was less than 10%.(4)Subsection (1) is taken to be satisfied in relation to the build to rent development if the total number of days on which the percentage was less than 10% was not more than 30 days.(1)A person is an eligible tenant if, when the person enters into a residential tenancy agreement for a dwelling in a build to rent development, the owner of the land on which the development is located believes—(a)each member of the person’s household is an Australian citizen or permanent resident; and(b)the dwelling will be occupied by each member of the person’s household as their principal place of residence throughout the term of the residential tenancy agreement; and(c)the limits prescribed by regulation, for all members of the person’s household and any non-resident spouse of the person, in relation to the following are not exceeded—(i)the combined total value, worked out in a stated way and at a stated time, of stated assets of the persons;(ii)the total income of the persons, worked out in a stated way for a stated period.(2)In this section—household, in relation to the person who enters into a residential tenancy agreement for the dwelling, means—(a)the person; or(b)anyone who will ordinarily reside in the dwelling, other than a dependant child of the person.non-resident spouse, of the person who enters into a residential tenancy agreement for the dwelling, means a spouse of the person who will not ordinarily reside in the dwelling, except if the person and the spouse live apart and do not intend to live together as a couple.58RDiscounted rent housing agreement
(1)A residential tenancy agreement for a dwelling in a build to rent development is a discounted rent housing agreement if—(a)at each relevant time for the agreement, the rent payable under the agreement is at least 25% less than the reference rent for the dwelling under subsection (2); and(b)the agreement is a fixed term agreement; and(c)when the agreement is entered into, the tenant is offered the option of an agreement with a term of 3 years.(2)For subsection (1)(a), the reference rent for the dwelling, at a relevant time, is the average rent paid or payable for each other dwelling in the build to rent development that is—(a)comparable to the dwelling having regard to the size, quality and amenities of the dwellings; and(b)subject to a residential tenancy agreement that—(i)is entered into at arms-length; and(ii)was entered into before the relevant time; and(iii)at the most recent relevant time for that dwelling, was not a discounted rent housing agreement.(3)For working out the reference rent for the dwelling under subsection (2)—(a)there must be at least 1 other dwelling in the build to rent development that meets the requirements under subsection (2)(a) and (b); and(b)if there are no other dwellings in the build to rent development that meet the requirements under subsection (2)(a) and (b), the requirement under subsection (1)(a) is not met.(4)In this section—relevant time, for a residential tenancy agreement for a dwelling in a build to rent development, means each of the following times—(a)when the agreement is entered into;(b)when a renewal of the agreement takes effect;(c)when the rent is reviewed under the agreement.58S Application for concession
(1)A taxpayer may apply to the commissioner for the taxpayer’s liability for land tax for a financial year to be assessed on the basis that land is land used for an eligible BTR development for the financial year.(2)The application must—(a)be in the approved form; and(b)if the taxpayer’s liability for land tax has not previously been assessed on the basis that the land is land used for an eligible BTR development—be made by the 30 June that is 2 years after the last day of the first financial year for which the land is land used for an eligible BTR development.(3)However, an application need not be made for a financial year if—(a)the taxpayer’s liability for land tax for the previous financial year was assessed on the basis that the land is land used for an eligible BTR development; and(b)the ownership of the land has not changed; and(c)the land continues to be land used for an eligible BTR development for the financial year.(4)Also, an application need not be made for a financial year if—(a)the ownership of the land changed during the previous financial year; and(b)the previous owner’s liability for land tax for the previous financial year was assessed on the basis that the land was land used for an eligible BTR development; and(c)the previous owner has given notice under section 58ZB about the use of the land for the previous financial year before the change of ownership; and(d)since the change of ownership, the land has continued to be used, solely or primarily, for an eligible BTR development.If an application need not be made for a financial year under subsection (3) or (4), see also the requirement under section 58Z.58T Application for ruling about concession
(1)This section applies if a person who owns land, or proposes to acquire land, proposes to use the land for an eligible BTR development, whether by constructing or substantially renovating 1 or more buildings on the land.(2)The person may apply to the commissioner for a ruling on whether, if the proposed development is carried out, the person’s liability for land tax for a financial year will be assessed on the basis that a concession under section 58B applies in relation to the land.(3)The application must—(a)be in the approved form; and(b)be supported by enough information to enable the commissioner to make a ruling.(4)The commissioner must give the applicant notice of the commissioner’s ruling on the application.(5)In this section—substantially renovating has the meaning given under section 58D.58U Effect of ruling about concession
(1)This section applies if the commissioner has, on an application for a ruling under section 58T, decided that a taxpayer’s liability for land tax for a financial year will be assessed on the basis that a concession under section 58B applies in relation to the land.(2)The commissioner must, on an application by the taxpayer under section 58S, assess the taxpayer’s liability for land tax for the financial year on the basis that the concession under section 58B applies in relation to the land.(3)However, subsection (2) does not apply if—(a)the information given with the application for the concession differs in a material particular from the information given with the application for the ruling; orThe information given with the application for the ruling included information about meeting the discounted rent housing requirements mentioned in division 3, subdivision 4. The information given with the application for the concession differs in a material respect and the discounted rent housing requirements are not met for the financial year.(b)the circumstances existing at the time the application for the concession is made are materially different from the circumstances existing at the time the application for the ruling was made; or(c)the information given with the application for the ruling was false or misleading in a material particular; or(d)both of the following apply—(i)after the ruling is made but before the application for the concession is decided, a legislative change takes effect, a judgment of a court is given or a decision by QCAT is made;(ii)the legislative change, judgment or decision would, if it had taken effect or been given or made before the ruling was made, have materially affected the ruling made by the commissioner.(4)In this section—information includes a document.58VReassessment—land not used for eligible BTR development
(1)This section applies if—(a)a taxpayer’s liability for land tax for a financial year is assessed on the basis that land is land used for an eligible BTR development for the financial year; and(b)the commissioner is satisfied that the land is not land used for an eligible BTR development for the financial year, including, for example, because of a reassessment made under this division for a previous financial year.See section 58C for when land is land used for an eligible BTR development for a financial year.(2)The commissioner must make a reassessment of the taxpayer’s liability for land tax for the financial year on the basis that the land is not land used for an eligible BTR development for the financial year.(3)This section does not limit the commissioner’s power to make a reassessment of the taxpayer’s liability for land tax for the financial year on the basis of a deliberate tax default under the Administration Act, section 22(2)(a).58W Reassessment—requirements for eligible tenant not met
(1)This section applies if—(a)a taxpayer’s liability for land tax for a financial year is assessed on the basis that land is land used for an eligible BTR development; and(b)a person occupied a dwelling in the eligible BTR development, at any time during the previous financial year, under a discounted rent housing agreement; and(c)the requirements under section 58Q(1)(a), (b) or (c) were not met in relation to the person when the discounted rent housing agreement was entered into; and(d)the discounted rent housing requirements under division 3, subdivision 4 would not have been met for the eligible BTR development for the financial year if the dwelling were not a discounted rent dwelling.(2)The commissioner must make a reassessment of the taxpayer’s liability for land tax for the financial year as if the land were not land used for an eligible BTR development for the financial year.(3)However, the commissioner must not make a reassessment of the taxpayer’s liability for land tax for the financial year under this section if the commissioner is satisfied the taxpayer took all reasonable steps to ensure the requirements under section 58Q(1)(a), (b) and (c) were met in relation to the person when the discounted rent housing agreement was entered into.58X Reassessment—avoidance arrangement
(1)This section applies if the commissioner is satisfied the owner of land has entered into an arrangement, whether in writing or otherwise, to circumvent limitations on, or requirements affecting, eligibility for a concession under section 58B.(2)The commissioner may make a reassessment of the owner’s liability for land tax for a financial year on the basis that the owner is not entitled to the concession under section 58B.58YLimitation on recovery of unpaid land tax on reassessment of previous owner
(1)This section applies if—(a)a taxpayer’s liability for land tax for a financial year is assessed on the basis that land is land used for an eligible BTR development; and(b)before the taxpayer acquired the land, another person’s liability for land tax for a previous financial year was assessed on the basis that the land was used for an eligible BTR development; and(c)after the taxpayer acquired the land, a reassessment is made under this division for the previous financial year on the basis that the land is not, or as if the land were not, land used for an eligible BTR development.(2)Despite part 7, unpaid land tax imposed under the reassessment—(a)may only be recovered as a debt from the person mentioned in subsection (1)(b); and(b)is not a charge on the land.58ZNotice about continued use of land for eligible BTR development
(1)This section applies to the owner of land that is land used for an eligible BTR development for a financial year if, under section 58S(3) or (4), the owner need not make an application mentioned in section 58S(1) in relation to the owner’s liability for land tax for the financial year.(2)The owner must, within 1 month after the start of the financial year, give the commissioner notice in the approved form stating—(a)if section 58S(3) applies—that the land continues to be used for an eligible BTR development for the financial year; or(b)if section 58S(4) applies—that the land continued to be used for an eligible BTR development from the day the owner started to own the land until the last day of the previous financial year.1See division 3 for when land is land used for an eligible BTR development for a financial year.2Under the Administration Act, the requirement under this section is a lodgement requirement for which a failure to comply is an offence under section 121 of that Act.58ZA Notice of particular decisions about future use of land used for eligible BTR development
(1)This section applies if—(a)land is land used for an eligible BTR development for a financial year; and(b)the eligible BTR development is a staged development; and(c)at least 1 stage of the development is not a completed stage within the meaning of section 58E; and(d)the owner of the land decides—(i)not to proceed with a stage mentioned in paragraph (c); or(ii)to change the nature of the stage.(2)Within 1 month after making the decision, the owner must give the commissioner notice in the approved form of the decision.1Under the Administration Act, the requirement under this section is a lodgement requirement for which a failure to comply is an offence under section 121 of that Act.2See also the Duties Act 2001, section 245P in relation to particular circumstances in which this section is taken to be complied with by a person who has received a concession for AFAD under that Act in relation to a transfer of the land.58ZB Notice about use of land used for eligible BTR development during final period of ownership
(1)This section applies if a person—(a)is required to give the commissioner notice under section 78(2) because the person has ceased to be the owner of land used for an eligible BTR development for a financial year; or(b)would, but for section 78(3), be required to give the commissioner notice as mentioned in paragraph (a).(2)The person must, within 1 month after ceasing to be the owner of the land, give the commissioner notice in the approved form stating how the land has been used during the period—(a)starting on 1 July in the financial year during which the person ceases to be the owner of the land; and(b)ending on the day the person ceases to be the owner of the land.Under the Administration Act, the requirement under this section is a lodgement requirement for which a failure to comply is an offence under section 121 of that Act.58ZC Building comprising build to rent development becomes suitable for occupation before 1 January in a financial year
(1)This section applies if, under this part, the first or only building comprising a build to rent development first becomes suitable for occupation before 1 January in a financial year (the relevant financial year).(2)For the financial year immediately following the relevant financial year, this part applies in relation to the land on which the build to rent development is located as if—(a)the references in sections 58C(1)(a), 58E(1) and 58P(1) to the previous financial year were references to the start-up period; and(b)this part did not include section 58P(3) and (4).(3)Also, a reference in this part to the BTR start date for an eligible BTR development is taken to be a reference to 1 January in the relevant financial year.(4)This section applies only if the owner of the land makes an application under section 58S in relation to the owner’s liability for land tax for the financial year immediately following the relevant financial year.(5)In this section—start-up period means the period—(a)starting on 1 January in the relevant financial year; and(b)ending on 30 June in the relevant financial year.58ZD Record-keeping requirement
(1)This section applies if a taxpayer’s liability for land tax for a financial year is assessed on the basis that a concession under section 58B applies in relation to land.(2)The taxpayer must keep records that show the basis on which the land is land used for an eligible BTR development for the financial year.See the Administration Act, section 118 (Period for keeping records).
13Amendment of s 66 (Application of pt 8)
(1)Section 66—
insert—(3A)Also, despite subsection (1), this part does not apply in relation to a land tax benefit attributable to a concession under section 58B.(2)Section 66(3A) to (5)—
renumber as section 66(4) to (6).
14Amendment of s 76 (Application for land to be exempt land)
Section 76—
insert—(3)Also, an application need not be made if—(a)subsection (2) does not apply in relation to the land for a financial year; and(b)on the basis of available information, the commissioner believes that—(i)the land is exempt land under section 41 for the financial year; or(ii)part of the land is exempt land under section 42 for the financial year; and(c)the commissioner has given the owner of the land a notice stating that the commissioner believes the land or part of the land to be exempt land for the financial year.
After section 77—
insert—77ANotice of change of partial exemption
(1)This section applies if—(a)a part of land is exempt land for a financial year under section 42, 53 or 55 (the relevant provision); and(b)when a liability for land tax arises for the next financial year, there is a change to the part of the land that is exempt under the relevant provision; and(c)the owner of the land is not required to give notice of the change under section 77; and(d)the ownership of the land has not changed.(2)The owner of the land must give the commissioner notice of the circumstance mentioned in subsection (1)(b).Under the Administration Act, the requirement under this subsection is a lodgement requirement for which a failure to comply is an offence under section 121 of that Act.(3)The notice must be given within 1 month after the start of the next financial year.
16Amendment of s 79 (Notice of change of address for service)
Section 79(2), definition address for service, paragraph (a)—
omit, insert—(a)the taxpayer’s address shown in the most recent assessment notice or basis of liability notice given to the taxpayer; or
17Insertion of new pt 9, div 2A
Part 9—
insert—80ACommissioner may give taxpayer a basis of liability notice
(1)This section applies in relation to a taxpayer, for a financial year, if the commissioner—(a)is satisfied the taxpayer’s liability for land tax for the financial year is nil; and(b)has not made an assessment of the liability.(2)The commissioner may give the taxpayer a notice (a basis of liability notice) stating—(a)that the commissioner is satisfied the taxpayer’s liability for land tax for the financial year is nil; and(b)the basis on which the commissioner has formed the belief mentioned in paragraph (a), including—(i)a description of the land the commissioner believes is owned by the taxpayer when the liability arises; and(ii)if the commissioner believes all or part of the land is exempt land—that the commissioner believes the land or part of the land to be exempt land for the financial year and which exemption under part 6 applies.80BNotice to be given by taxpayer—incorrect basis of liability
(1)This section applies in relation to a taxpayer’s liability for land tax for a financial year if—(a)either—(i)the commissioner has given the taxpayer a basis of liability notice for the liability; or(ii)the commissioner has made an assessment of the taxpayer’s liability; and(b)the taxpayer becomes aware that the basis of the taxpayer’s liability as stated in the basis of liability notice or as originally assessed was not, or is no longer, correct; and(c)the taxpayer is not required under section 28 of the Administration Act to advise the commissioner about the incorrect basis of the taxpayer’s liability.(2)The taxpayer must give the commissioner notice that the basis of the taxpayer’s liability was not, or is no longer, correct.Failure to give the notice is an offence under the Administration Act, section 120.(3)The taxpayer must comply with subsection (2) within 30 days after becoming aware that the basis of the taxpayer’s liability was not, or is no longer, correct.(4)In this section—basis, of a taxpayer’s liability for land tax for a financial year, means—(a)a description of the land owned by the taxpayer when the liability arises; or(b)if the land or part of the land is exempt land—the exemption under part 6 that applies to the land or part of the land for the financial year; or(c)another matter that affects the amount of the taxpayer’s liability.80CAssessment on non-compliance with requirement to give notice under s 80B
(1)This section applies if—(a)a basis of liability notice has been given to a taxpayer in relation to the taxpayer’s liability for land tax for a financial year; and(b)the taxpayer is required to, but does not, comply with section 80B(2) in relation to the taxpayer’s liability; and(c)immediately after the 30-day period mentioned in section 80B(3) ends, the commissioner has not made an assessment of the taxpayer’s liability for land tax for the financial year.(2)Section 13 of the Administration Act applies for the making of a default assessment for the taxpayer’s liability as if the taxpayer had not lodged a document required to be lodged under a lodgement requirement.(3)If the commissioner makes an assessment for the taxpayer’s liability—(a)section 54(5)(c)(ii) of the Administration Act applies as if the taxpayer’s non-compliance with section 80B(2) were non-compliance with a lodgement requirement for the assessment; and(b)for a default assessment—section 58(3)(a) of the Administration Act applies as if the reference to section 28 of that Act included a reference to section 80B(2) of this Act.(4)In this section—basis, of a taxpayer’s liability for land tax for a financial year, see section 80B(4).
18Insertion of new pt 10, div 9
Part 10—
insert—102Applications for exemption not required
Section 76(3) applies in relation to a financial year ending before or after the commencement.103Application of basis of liability provisions
(1)A basis of liability notice may be given in relation to a taxpayer’s liability for land tax for a financial year ending before or after the commencement.(2)Subsections (3) and (4) apply in relation to a taxpayer’s pre-commencement liability.(3)If an assessment of the pre-commencement liability was made before the commencement, the taxpayer is not required to comply with section 80B(2) in relation to the pre-commencement liability.(4)If the taxpayer is given a basis of liability notice for the pre-commencement liability, section 80C does not apply to the taxpayer in relation to the pre-commencement liability.(5)In this section—pre-commencement liability means a liability for land tax for a financial year ending before 1 July 2023.104Transitional regulation-making power
(1)A regulation (a transitional regulation) may make provision about a matter for which—(a)it is necessary to make provision to allow or facilitate the doing of anything to achieve the transition from the operation of this Act as in force before its amendment by the Revenue Legislation Amendment Act 2023, part 3 to the operation of this Act as in force from the commencement; and(b)this Act does not provide or sufficiently provide.(2)A transitional regulation may have retrospective operation to a day not earlier than the day this section commences.(3)A transitional regulation must declare it is a transitional regulation.(4)This section and any transitional regulation expire on the day that is 1 year after the day this section commences.
19Amendment of sch 4 (Dictionary)
Schedule 4—
insert—basis of liability notice see section 80A(2).BTR start date, for an eligible BTR development, for part 6A, see section 58A.build to rent development, for part 6A, see section 58D.discounted rent dwelling, in a build to rent development, for part 6A, see section 58P(2).discounted rent housing agreement, for part 6A, see section 58R.eligible BTR development, for part 6A, see section 58E.eligible tenant, for part 6A, see section 58Q.land used for an eligible BTR development, for a financial year, for part 6A, see section 58C.residential tenancy agreement, for part 6A, see section 58A.staged development, for part 6A, see section 58D(4).suitable for occupation, in relation to a building, for part 6A, see section 58A.
Part 4 Amendment of Land Tax Regulation 2021
This part amends the Land Tax Regulation 2021.
21Insertion of new ss 2A and 2B
After section 2—
insert—2AAsset limit relating to eligible tenants—Act, s 58Q
(1)For section 58Q(1)(c)(i) of the Act, the limit prescribed, for the combined total value of the assets of all members of the person’s household and any non-resident spouse of the person, is the value equivalent to 25% of the assets value limit.(2)For subsection (1), the assets value limit is the following assets value limit under the Social Security Act 1991 (Cwlth), section 1064-G3 as indexed or adjusted under that Act—(a)for 1 person—the assets value limit for a person who is not a member of a couple and is not a homeowner;(b)for 2 or more persons—the assets value limit for a partnered person, if neither the person nor their partner is a homeowner, multiplied by 2.The current assets value limits are published in the Social Security Guide on the website of the Department of Social Services (Cwlth).(3)The combined total value of the persons’ assets must be worked out at the relevant time.(4)A person’s superannuation entitlements must be disregarded for this section if the person can not access the entitlements at the relevant time.(5)In this section—relevant time means immediately before the residential tenancy agreement mentioned in subsection (1) is entered into.2BIncome limit relating to eligible tenants—Act, s 58Q
(1)For section 58Q(1)(c)(ii) of the Act, the limit prescribed, for the total income of all members of the person’s household and any non-resident spouse of the person, is the amount of the income threshold stated in subsection (2).(2)The income threshold is—(a)for 1 person (with no dependant children)—the annualised weekly earning amount; or(b)for 1 person (with 1 or more dependant children)—150% of the annualised weekly earning amount; or(c)for 2 or more persons (with no dependant children)—150% of the annualised weekly earning amount; or(d)for 2 or more persons (with 1 or more dependant children)—180% of the annualised weekly earning amount.(3)The persons’ total income must be worked out using the taxable income of each person for the period of 12 months ending on the day the residential tenancy agreement mentioned in section 58Q(1) of the Act is entered into.(4)In this section—annualised weekly earning amount means the estimated average weekly total earnings for Queensland full-time adults (seasonally adjusted) stated in the most recently published May series by the Australian Bureau of Statistics on its website, multiplied by 52.taxable income means taxable income under the Income Tax Assessment Act 1997 (Cwlth).
Part 5 Amendment of Payroll Tax Act 1971
This part amends the Payroll Tax Act 1971.
23Amendment of s 10A (Discount for regional employers)
Section 10A(1), ‘and 2023’—
omit, insert—, 2023, 2024, 2025, 2026, 2027, 2028, 2029 and 2030
24Amendment of s 27A (Rebate for periodic liability)
Section 27A(3), definition rebate, ‘or 2023’—
omit, insert—, 2023 or 2024
25Amendment of s 35A (Rebate for annual payroll tax amount)
Section 35A(4), definition rebate, ‘or 2023’—
omit, insert—, 2023 or 2024
26Amendment of s 43A (Rebate for final payroll tax amount)
Section 43A(3), definition rebate, ‘or 2023’—
omit, insert—, 2023 or 2024
27Insertion of new pt 15, div 1 hdg
Before section 147—
insert—
28Amendment of s 147 (Retrospective application of particular provisions)
Section 147(2), ‘Definition’—
omit, insert—Schedule, definition
29Replacement of s 148 (Transitional regulation-making power)
Section 148—
omit, insert—This division provides for transitional arrangements, for the financial year ending on 30 June 2023, in relation to the amendment of this Act by the Revenue Legislation Amendment Act 2022, part 8, division 3.See also the repealed Payroll Tax (Transitional) Regulation 2022, made under section 148 as it was in force before its replacement by the Revenue Legislation Amendment Act 2023.In this division—first half, of the transitional financial year, means the period starting on 1 July 2022 and ending on 31 December 2022.second half, of the transitional financial year, means the period starting on 1 January 2023 and ending on 30 June 2023.transitional financial year means the financial year ending on 30 June 2023.148B Working out fixed periodic deductions for transitional financial year
(1)This section applies for working out a fixed periodic deduction under section 17 or 23 for the transitional financial year.(2)A calculation day under sections 18 and 24 is taken to include 1 January in that year.148C Working out annual deduction for transitional financial year—employer other than the DGE for a group
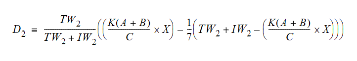
(1)This section applies to an employer—(a)who is required, under section 63, to lodge an annual return for the transitional financial year; and(b)who is not the DGE for a group on 30 June 2023.(2)Despite section 29, definition annual deduction, the annual deduction for the employer for the transitional financial year is the greater of zero and the amount worked out by adding the deduction (first half) and deduction (second half) for the employer.(3)For subsection (2), the employer’s deduction (first half) is the amount worked out using the following formula— where—A means the number of days in the first half of the transitional financial year for which the employer pays, or is liable to pay, wages, other than foreign wages.AW1 means the amount of the employer’s annual wages that are paid or payable for the first half of the transitional financial year.B means the number of days in the second half of the transitional financial year for which the employer pays, or is liable to pay, wages, other than foreign wages.C means the number of days in the transitional financial year.D1 means the employer’s deduction (first half) in dollars.IW1 means the amount of interstate wages paid or payable by the employer for the first half of the transitional financial year.K means 1,300,000.X see subsection (5).(4)Also, for subsection (2), the employer’s deduction (second half) is the amount worked out using the following formula— where—A means the number of days in the first half of the transitional financial year for which the employer pays, or is liable to pay, wages, other than foreign wages.AW2 means the amount of the employer’s annual wages that are paid or payable for the second half of the transitional financial year.B means the number of days in the second half of the transitional financial year for which the employer pays, or is liable to pay, wages, other than foreign wages.C means the number of days in the transitional financial year.D2 means the employer’s deduction (second half) in dollars.IW2 means the amount of interstate wages paid or payable by the employer for the second half of the transitional financial year.K means 1,300,000.X see subsection (5).(5)For subsections (3) and (4), the amount for X is to be worked out using the following formula— where—AW means the amount of the employer’s annual wages for the transitional financial year.AWhalf means the amount of annual wages paid or payable by the employer—(a)in relation to the deduction (first half)—for the first half of the transitional financial year; or(b)in relation to the deduction (second half)—for the second half of the transitional financial year.IW means the amount of interstate wages paid or payable by the employer for the transitional financial year.IWhalf means the amount of interstate wages paid or payable by the employer—(a)in relation to the deduction (first half)—for the first half of the transitional financial year; or(b)in relation to the deduction (second half)—for the second half of the transitional financial year.(6)In this section—annual wages see section 29(1).148D Working out annual deduction for transitional financial year—DGE for a group
(1)This section applies to an employer if on 30 June 2023 the employer is the DGE for a group.(2)Despite section 33, definition annual deduction, the annual deduction for the DGE for the transitional financial year is the greater of zero and the amount worked out by adding the deduction (first half) and deduction (second half) for the DGE.(3)For subsection (2), the DGE’s deduction (first half) is the amount worked out using the following formula— where—A means the number of days in the designated period for the DGE—(a)that are in the first half of the transitional financial year, whether or not wholly or partly concurrent; and(b)for which 1 or more relevant group employers pay, or are liable to pay, as members of the group taxable wages or interstate wages, or taxable wages and interstate wages.B means the number of days in the designated period for the DGE—(a)that are in the second half of the transitional financial year, whether or not wholly or partly concurrent; and(b)for which 1 or more relevant group employers pay, or are liable to pay, as members of the group taxable wages or interstate wages, or taxable wages and interstate wages.C means the number of days in the transitional financial year.D1 means the DGE’s deduction (first half) in dollars.IW1 means the amount of interstate wages paid or payable for the part of the designated period for the DGE occurring in the first half of the transitional financial year by each relevant group employer as a member of the group.K means 1,300,000.TW1 means the amount of taxable wages paid or payable for the part of the designated period for the DGE occurring in the first half of the transitional financial year by each relevant group employer as a member of the group.X see subsection (5).(4)For subsection (2), the DGE’s deduction (second half) is the amount worked out using the following formula— where—A means the number of days in the designated period for the DGE—(a)that are in the first half of the transitional financial year, whether or not wholly or partly concurrent; and(b)for which 1 or more relevant group employers pay, or are liable to pay, as members of the group taxable wages or interstate wages, or taxable wages and interstate wages.B means the number of days in the designated period for the DGE—(a)that are in the second half of the transitional financial year, whether or not wholly or partly concurrent; and(b)for which 1 or more relevant group employers pay, or are liable to pay, as members of the group taxable wages or interstate wages, or taxable wages and interstate wages.C means the number of days in the transitional financial year.D2 means the DGE’s deduction (second half) in dollars.IW2 means the amount of interstate wages paid or payable for the part of the designated period for the DGE occurring in the second half of the transitional financial year by each relevant group employer as a member of the group.K means 1,300,000.TW2 means the amount of taxable wages paid or payable for the part of the designated period for the DGE occurring in the second half of the transitional financial year by each relevant group employer as a member of the group.X see subsection (5).(5)For subsections (3) and (4), the amount for X is to be worked out using the following formula— where—IW means the amount of interstate wages paid or payable by each relevant group employer as a member of the group during the designated period for the DGE.IWhalf means the amount of interstate wages paid or payable by each relevant group employer as a member of the group—(a)in relation to the deduction (first half)—for the part of the designated period for the DGE occurring in the first half of the transitional financial year; or(b)in relation to the deduction (second half)—for the part of the designated period for the DGE occurring in the second half of the transitional financial year.TW means the amount of taxable wages paid or payable by each relevant group employer as a member of the group during the designated period for the DGE.TWhalf means the amount of taxable wages paid or payable by each relevant group employer as a member of the group—(a)in relation to the deduction (first half)—for the part of the designated period for the DGE occurring in the first half of the transitional financial year; or(b)in relation to the deduction (second half)—for the part of the designated period for the DGE occurring in the second half of the transitional financial year.(6)In this section—relevant group employer, for the designated period for the DGE for a group in the transitional financial year, means an employer who was a member of the group for all or part of the designated period.148E Working out final deduction for transitional financial year—employer other than the DGE for a group
(1)This section applies to an employer if—(a)the employer is required, under section 64, to lodge a final return for a final period; and(b)the employer is not the DGE for a group on the last day of the final period; and(c)all or part of the final period occurs in the second half of the transitional financial year.(2)Despite section 37, definition final deduction, the final deduction for the employer for the final period is the greater of zero and the amount worked out by adding the deduction (first half) and deduction (second half) for the employer.(3)For subsection (2), the employer’s deduction (first half) is the amount worked out using the following formula— where—A means the number of days in the part of the final period occurring in the first half of the transitional financial year for which the employer pays, or is liable to pay, wages.B means the number of days in the part of the final period occurring in the second half of the transitional financial year for which the employer pays, or is liable to pay, wages.C means the number of days in the transitional financial year.D1 means the employer’s deduction (first half) in dollars.FW1 means the amount of the employer’s final wages that are paid or payable for the part of the final period occurring in the first half of the transitional financial year.IW1 means the amount of interstate wages paid or payable by the employer for the part of the final period occurring in the first half of the transitional financial year.K means 1,300,000.X see subsection (5).(4)Also, for subsection (2), the employer’s deduction (second half) is the amount worked out using the following formula— where—A means the number of days in the part of the final period occurring in the first half of the transitional financial year for which the employer pays, or is liable to pay, wages.B means the number of days in the part of the final period occurring in the second half of the transitional financial year for which the employer pays, or is liable to pay, wages.C means the number of days in the transitional financial year.D2 means the employer’s deduction (second half) in dollars.FW2 means the amount of the employer’s final wages that are paid or payable for the part of the final period occurring in the second half of the transitional financial year.IW2 means the amount of interstate wages paid or payable by the employer for the part of the final period occurring in the second half of the transitional financial year.K means 1,300,000.X see subsection (5).(5)For subsections (3) and (4), the amount for X is to be worked out using the following formula— where—FW means the amount of the employer’s final wages for the final period.FWhalf means the amount of final wages paid or payable by the employer—(a)in relation to the deduction (first half)—for the part of the final period occurring in the first half of the transitional financial year; or(b)in relation to the deduction (second half)—for the part of the final period occurring in the second half of the transitional financial year.IW means the amount of interstate wages paid or payable by the employer for the final period.IWhalf means the amount of interstate wages paid or payable by the employer—(a)in relation to the deduction (first half)—for the part of the final period occurring in the first half of the transitional financial year; or(b)in relation to the deduction (second half)—for the part of the final period occurring in the second half of the transitional financial year.(6)In this section—final wages see section 37.wages does not include foreign wages.148F Working out final deduction for transitional financial year—DGE for a group
(1)This section applies to an employer if—(a)on the last day of a final period, the employer is the DGE for a group; and(b)all or part of the final period occurs in the second half of the transitional financial year.(2)Despite section 41, definition final deduction, the final deduction for the DGE for the final period is the greater of zero and the amount worked out by adding the deduction (first half) and deduction (second half) for the DGE.(3)For subsection (2), the DGE’s deduction (first half) is the amount worked out using the following formula— where—A means the number of days—(a)that are in the part of the final period occurring in the first half of the transitional financial year; and(b)for which 1 or more relevant group employers pay, or are liable to pay, as members of the group taxable wages or interstate wages, or taxable wages and interstate wages.B means the number of days—(a)that are in the part of the final period occurring in the second half of the transitional financial year; and(b)for which 1 or more relevant group employers pay, or are liable to pay, as members of the group taxable wages or interstate wages, or taxable wages and interstate wages.C means the number of days in the transitional financial year.D1 means the DGE’s deduction (first half) in dollars.IW1 means the amount of interstate wages paid or payable for the part of the final period occurring in the first half of the transitional financial year by each relevant group employer as a member of the group.K means 1,300,000.TW1 means the amount of taxable wages paid or payable for the part of the final period occurring in the first half of the transitional financial year by each relevant group employer as a member of the group.X see subsection (5).(4)Also, for subsection (2), the DGE’s deduction (second half) is the amount worked out using the following formula— where—A means the number of days—(a)that are in the part of the final period occurring in the first half of the transitional financial year; and(b)for which 1 or more relevant group employers pay, or are liable to pay, as members of the group taxable wages or interstate wages, or taxable wages and interstate wages.B means the number of days—(a)that are in the part of the final period occurring in the second half of the transitional financial year; and(b)for which 1 or more relevant group employers pay, or are liable to pay, as members of the group taxable wages or interstate wages, or taxable wages and interstate wages.C means the number of days in the transitional financial year.D2 means the DGE’s deduction (second half) in dollars.IW2 means the amount of interstate wages paid or payable for the part of the final period occurring in the second half of the transitional financial year by each relevant group employer as a member of the group.K means 1,300,000.TW2 means the amount of taxable wages paid or payable for the part of the final period occurring in the second half of the transitional financial year by each relevant group employer as a member of the group.X see subsection (5).(5)For subsections (3) and (4), the amount for X is to be worked out using the following formula— where—IW means the amount of interstate wages paid or payable for the final period by each relevant group employer as a member of the group.IWhalf means the amount of interstate wages paid or payable by each relevant group employer as a member of the group—(a)in relation to the deduction (first half)—for the part of the final period occurring in the first half of the transitional financial year; or(b)in relation to the deduction (second half)—for the part of the final period occurring in the second half of the transitional financial year.TW means the amount of taxable wages paid or payable for the final period by each relevant group employer as a member of the group.TWhalf means the amount of taxable wages paid or payable by each relevant group employer as a member of the group—(a)in relation to the deduction (first half)—for the part of the final period occurring in the first half of the transitional financial year; or(b)in relation to the deduction (second half)—for the part of the final period occurring in the second half of the transitional financial year.(6)In this section—relevant group employer, for a final period for the DGE for a group, means an employer who was a member of the group for all or part of the final period.148G Additional information required for particular annual returns
(1)This section applies in relation to an annual return for the transitional financial year if a provision under subdivision 2, or the repealed Payroll Tax (Transitional) Regulation 2022, part 2, applies for working out the annual deduction for the taxable wages the subject of the annual return.(2)In addition to the requirements under section 63(3), the return must also state—(a)if the employer is the DGE for a group—the wages that were paid or payable by each relevant group employer as a member of the group for the part of the designated period for the DGE occurring in the second half of the transitional financial year; or(b)for another employer—the wages that were paid or payable by the employer for the second half of the transitional financial year, other than wages that were included, or required to be included, in a final return for a final period for the employer during the financial year.(3)In this section—relevant group employer, for the designated period for the DGE for a group in the transitional financial year, means an employer who was a member of the group for all or part of the designated period.148H Additional information required for particular final returns
(1)This section applies in relation to a final return for the transitional financial year if a provision under subdivision 2, or the repealed Payroll Tax (Transitional) Regulation 2022, part 2, applies for working out the final deduction for taxable wages the subject of the final return.(2)In addition to the requirements under section 64(3), the return must also state—(a)if the employer is the DGE for a group—the wages that were paid or payable by each relevant group employer as a member of the group for the part of the final period occurring in the second half of the transitional financial year; or(b)for another employer—the wages that were paid or payable by the employer for the part of the final period occurring in the second half of the transitional financial year.(3)In this section—relevant group employer, for a final period for the DGE for a group, means an employer who was a member of the group for all or part of the final period.
30Amendment of schedule (Dictionary)
Schedule, definition eligible year, ‘or 2023’—
omit, insert—, 2023 or 2024
Part 6 Amendment of Taxation Administration Act 2001
This part amends the Taxation Administration Act 2001.
32Amendment of s 36 (Refunds made only under this division)
Section 36—
insert—(2)No cause of action, right or remedy is available at common law for the refund or recovery of any amount paid or purportedly paid under a tax law.(3)To remove any doubt, it is declared that subsection (2) does not affect a person’s right to seek judicial review under the Judicial Review Act 1991 to the extent permitted under this Act.
33Insertion of new pt 13, div 12
Part 13—
insert—(1)This section applies if, immediately before the commencement, a proceeding involving a cause of action, right or remedy at common law for the refund or recovery of an amount paid or purportedly paid under a tax law has been started but not completed.(2)The proceeding may be continued and decided as if the Revenue Legislation Amendment Act 2023, part 6, had not been enacted.188Proceedings not yet started
(1)This section applies if—(a)immediately before the commencement, a person could have started a proceeding involving a cause of action, right or remedy at common law for the refund or recovery of an amount paid or purportedly paid under a tax law; and(b)on the commencement, the person has not started the proceeding.(2)Section 36(2) extinguishes the cause of action, right or remedy and the proceeding may not be started.(3)This section applies despite the Acts Interpretation Act 1954, section 20.
© State of Queensland 2023












